
精細化護膚日益發展,針對不同部位的抗皺護膚措施應運而生。
與面上部皺紋(比如額頭紋、魚尾紋、眉間紋等)關注度相比,面下部年輕態關注較少。唇及口周是動態的表情區和運動區,高頻率運動使該區域更易產生皺紋、脂肪萎縮及組織下垂,直接影響到面部的衰老形態[1]。
本篇對口周年輕化臨床實踐相關的高價值文獻“A validated grading scale for marionette lines. Dermatol Surg. 2008 Nov;34 Suppl 2:S167-72. doi: 10.1111/j.1524-4725.2008.34366.x. PMID: 19021675”進行全文翻譯,對『木偶線』圖譜評估量表的建立、驗證進行系統學習,以供美容護膚領域臨床應用參考。
[全文翻譯] 經驗證的木偶紋分級量表
-------
摘要
-------
研究背景
Melomental folds,或marionette lines(木偶紋/木偶線),是面部衰老的后果之一。這些由面部運動和衰老過程形成的曲線皺紋從口角向下延伸。
研究目的
建立木偶線分級量表(Marionette Lines Grading Scale),客觀量化木偶紋(Melomental folds)的嚴重程度,并確定該圖譜量表(photonumeric scale)在臨床研究和實踐中的可靠性。
材料與方法
開發了一個五級圖譜評分量表(5-point photonumeric rating scale),用于客觀量化木偶紋(Melomental folds)的嚴重程度。9位專家對35名受試者的照片進行了兩次評估,分別比較了原始圖譜與演變圖譜中的木偶紋(marionette lines)。通過計算組內相關系數來評估組間和組內的變異性。
測試結果
專家們達成高度一致性,氣泡圖(雙變量散點圖,bivariate scatter plots)顯示了專家判斷的線性關系。
結論
該五級圖譜評分量表覆蓋了患者常尋求矯正的木偶線嚴重程度。量表分層合理,可確保評分的一致性。
-------
正文
-------
研究背景
修復面部皮膚衰老影響是美容手術(cosmetic procedures)的常見目標。Melomental folds,或marionette lines(木偶紋/木偶線),是面部衰老的結果,表現為從口角向下延伸的曲線狀皺紋。木偶紋的成因尚不清楚,但可能與重復的面部表情和重力對日益失去彈性的組織的影響有關[1]。遺傳因素決定正常衰老的進程[1],暴露于環境毒素如紫外線[2]和吸煙[3]可加速衰老。
注:cosmetic procedures,翻譯如下:整容手術;美容程序。
對已形成的木偶紋的美容治療一直很困難。似乎有一種趨勢,即不再使用更具侵入性的除皺術或面部拉皮術來解決木偶紋,因為侵入性較小的手術似乎更有效。通過注射膠原蛋白、聚甲基丙烯酸甲酯、羥基磷灰石鈣、透明質酸和自體脂肪移植等填充劑,可改善木偶紋外觀[4,5]。這些填充物可以提升嘴角和木偶紋,提供三維治療,產生令人愉悅、年輕的外觀[6]。過去,肉毒桿菌毒素-A注射劑不用于改善木偶紋,但最近,低劑量的肉毒桿菌毒素-A注射劑已被用于治療中面部和下面部的皺紋[7]。
目前尚無經過驗證的標準方法,可在臨床環境中客觀量化面部皺紋的嚴重程度。目前存在一種主觀評分量表,可評估面部皮膚的整體變化[8]。研究人員開發了另一種圖譜分級量表,通過將觀察者判斷與皮膚復制品的光學評估相結合,以客觀量化注射填充后面部皺紋的改善程度[9]。許多客觀、定量的評分量表用于測量皮膚表面的三維細節,這些量表還使用皮膚復制品[10,11]和光學分析[12,13]或計算機輔助分析[14]。這些客觀量表的重要設備要求限制了它們在臨床實踐中的應用。
使用非醫學主題詞:melomental folds, marionette lines, rhytides or wrinkles; perioral or oral commissures; pre-jowlsulcus; and validated scale進行MEDLINE檢索時,未發現任何出版物。
注:以上主題詞翻譯為:
melomental folds(根據上下文,"melomental folds"應譯為"頦唇溝",這是指從口角向下延伸至下頜的面部皺紋區域,常與"marionette lines"(木偶紋)等術語并列使用描述面部老化特征);
marionette lines(木偶線);
rhytides([醫]皺紋)or wrinkles(皺紋);
perioral or oral commissures(口周或口角);
pre-jowlsulcus(頜前溝);
validated scale(經驗證的量表)。
需要一個客觀、定量的評級量表來評估木偶線(marionette lines)的嚴重程度和監測治療效果。這樣的量表可以在臨床環境中建立指導方針,并為臨床試驗結果提供標準、客觀的評估。在本文中,我們提出了木偶線分級量表,用于客觀量化melomental folds,并建立了臨床測量評估,以確定該圖譜分級量表的效度、信度、反應度。
注:在臨床測量學評估中,這三個術語(validity, reliability, and responsiveness)分別指量表測量目標特征的能力(效度)、結果的一致性(信度)以及對變化的敏感度(反應度)。
方法
評估量表
木偶線分級量表是一種5分制的圖譜分級量表,其開發目的是為了客觀量化melomental folds的嚴重程度,如圖1A所示。

(A)經演變的驗證圖像

(B)原始驗證圖像
注:皮膚皺褶程度分級標準翻譯為:
0分表示無可見褶皺,皮膚線條連貫;
1分表示淺褶皺,有輕微凹陷;
2分表示中度深褶皺,在正常外觀下特征清晰,但拉伸后消失;
3分表示非常長且深的褶皺,面部特征明顯;
4分表示極長且深的褶皺,影響面部外觀。
圖1.木偶線分級量表
(A)變形圖像;(B)原始驗證圖像
一名臨床醫生參與了形態學方法的開發和量表的描述。根據質量和在每個代表性標度上的均衡分布,從100名受試者的攝影數據庫中選擇了大約50張圖像(每個標度驗證集)。使用基于標準的php計算機隨機化程序,從50張圖像中隨機選取35張圖像作為靶區或驗證集,最終納入到池中。
專家對評估量表的驗證
九位美容醫學領域的專家根據真實人物照片(圖1B)中呈現的“木偶線”特征,對35個案例進行了評估,并與經過變形處理的圖像進行了對比。演變圖像顯示了定義的長寬比的階梯式變化。在初始培訓會議和實踐案例的討論之后,每個專家在連續兩天內獨立地對35個案例進行評估。將數據雙重輸入數據庫,并檢查其正確性。
統計分析
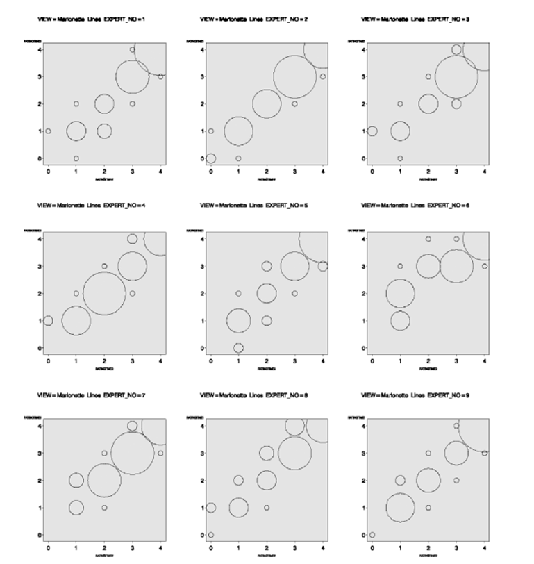
對每日評分進行描述性統計(標準差、平均值、中位數、最大值和最小值)計算(見表1)。評級的穩定性以雙變量散點圖(氣泡圖)的形式進行可視化。氣泡圖是一種在散點圖上表示變量間關系的方法。兩個變量的觀測值以常規方式繪制,使用圓圈作為符號;圓圈的半徑與第三個變量的關聯值成比例。給定分數的頻率決定了氣泡的大小,這些氣泡理想地位于對角線上。

效度與信度
針對每個時間點,根據病例和評估者的隨機選擇模型,計算了組內相關系數(ICCs)[15,16]。在這些假設下,適當的ICC(組內相關系數)將是Shrout-Fleiss隨機集信度系數,當相同評估者對所有案例進行評分,且這些評估者被視為所有可能評估者的隨機集合時使用該系數。Pearson相關系數被計算作為每個專家評分穩定性的重測信度估計值(經過一夜的時間間隔后,每位評價人對所有案例進行評價)。
結果
培訓課程的結果不包括在評估中。
ICC系數(第一次評分0.873,第二次評分0.891)是根據9位專家對35個病例的評分計算得出的,從ICC可以看出專家之間的一致性很高。此外,經過一夜的間隔后,每位評估員的測試-重測相關系數(最小0.845,最大0.966)均很高。圖2展示了每位專家的氣泡圖,用于比較專家之間得分的雙變量頻率。氣泡的大小由給定分數的頻率決定。如圖2所示,觀察到良好的個體間相關性。

圖2.所有專家的氣泡圖
討論
在美學醫學領域,通過五級評分標準對真實生活照片與合成圖像進行比較判斷的量表驗證結果顯示,其ICC值處于中等偏高水平。用于這些估計的統計模型假設從美學醫學領域的專家群體中隨機抽取一部分評分者。因此,這些系數可以被視為評定者間可靠性的保守估計。測試-重測信度系數很高,表明在經過一夜的時間間隔后,評分的穩定性足夠高。專家們用演變后的圖像來判斷真實病人的照片。演變后的圖像,雖然被標準化到一個特定部位,但在臨床上并不能反映衰老面部發生的多種物理變化。在嚴重程度的后期,木偶線會連接到鼻唇溝。照片評價和真實患者評價是不同的,因此如果臨床試驗使用這個經過驗證的量表,臨床試驗中的評估應該在標準化照片上進行,而不是進行真人評估。
參考文獻
[1] 中國非公立醫療機構協會整形與美容專業委員會,中國整形美容協會醫美線技術分會.中國人群微創泛口周年輕化專家共識.中國醫療美容,2022,12(10):1-11.
[2] Carruthers A, Carruthers J, Hardas B, Kaur M, Goertelmeyer R, Jones D, Rzany B, Cohen J, Kerscher M, Flynn TC, Maas C, Sattler G, Gebauer A, Pooth R, McClure K, Simone-Korbel U, Buchner L. A validated grading scale for marionette lines. Dermatol Surg. 2008 Nov;34 Suppl 2:S167-72. doi: 10.1111/j.1524-4725.2008.34366.x. PMID: 19021675.

